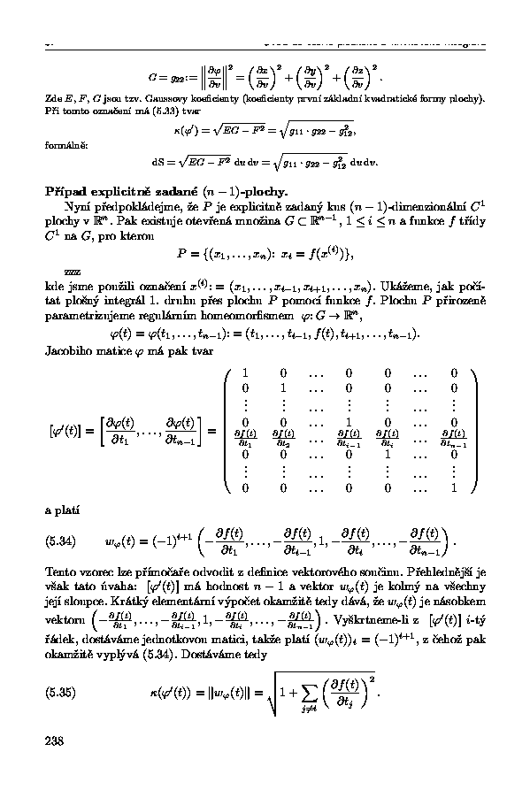
... 230 231 232 233 234 235 236 237 238 239 240 241 242 243 244 245 246 ...