...
223
224
225
226
227
228
229
230
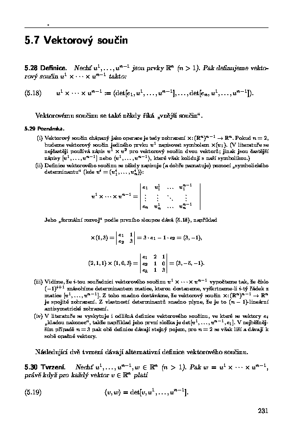
231
232
233
234
235
236
237
238
239
...