res.dvi
1
   
1
2
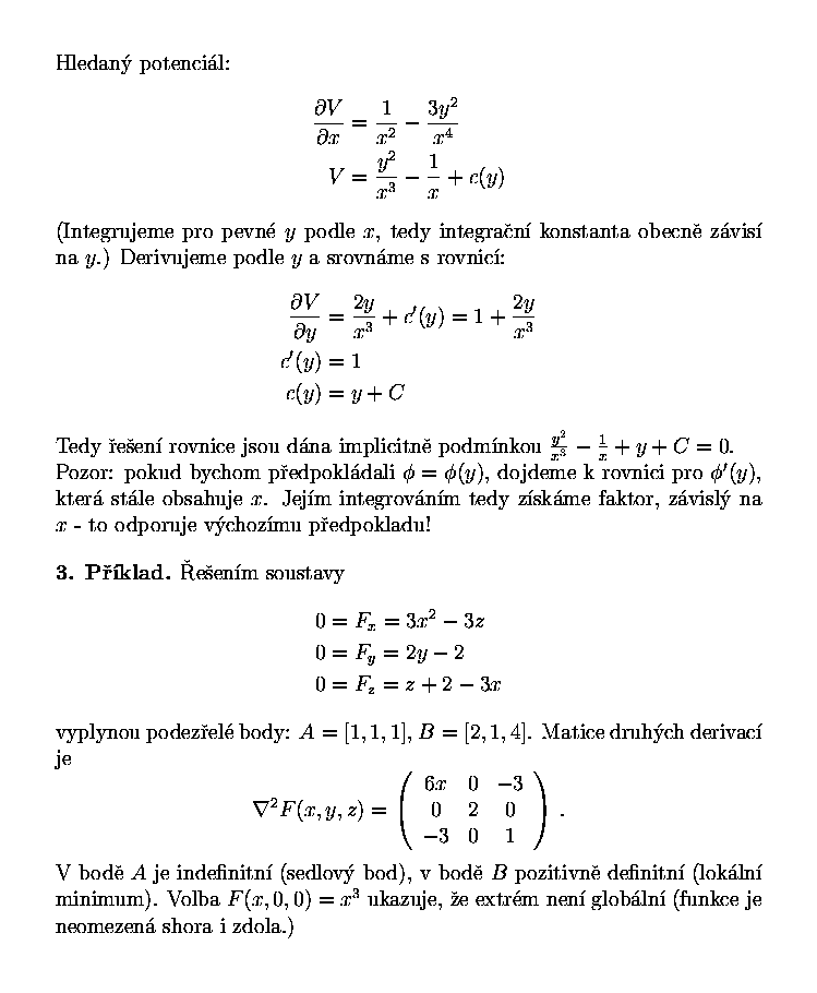
3
2
   
1
2
3
3
   
1
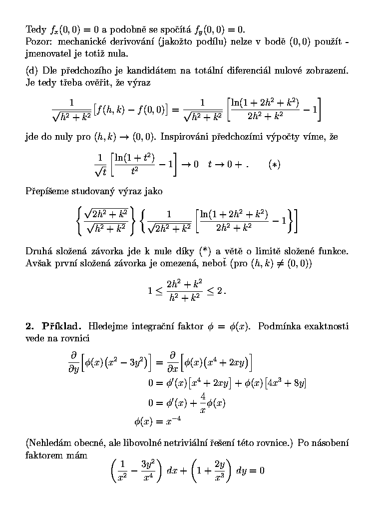
2
3