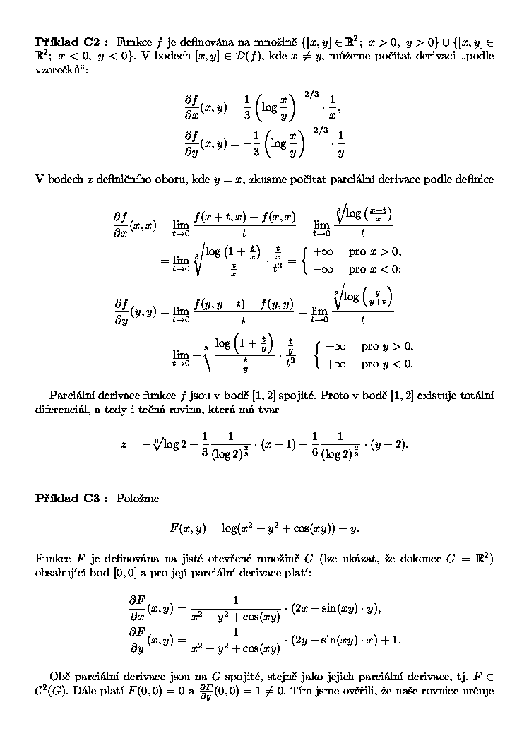
...
48
49
50
51
52
53
54
55
56
57
58
59
60
61
62
63
64
...