Question 3 - Comparison of Q1 and Q2 solution

Contents

Logistic Equation

figure
[t,x]=ode23(@logistic,[0,3], 2);

plot(t,x(:,1), 'DisplayName', 'ode23');
xlabel('t');
ylabel('x');
hold on;
disp('Logistic Equation:');

tic;
[t,x]=q1_solution(@logistic,0,3, 2);
duration = toc;
plot(t,x(:,1),'ro','DisplayName','Q1');
fprintf('  Q1 Computation Time: %f\n', duration);

tic;
[t,x]=q2_solution(@logistic,0,3, 2);
duration = toc;
plot(t,x(:,1),'mx','DisplayName','Q2');
fprintf('  Q2 Computation Time: %f\n', duration);

legend('Location', 'NorthEast');
Logistic Equation:
  Q1 Computation Time: 0.001434
  Q2 Computation Time: 0.001275

Stiff Linear System

figure
[t,x]=ode23(@linsystem,[0,0.1], [2; 1]);

plot3(t,x(:,1),x(:,2), 'DisplayName', 'ode23');
xlabel('t');
ylabel('x');
hold on;
disp('Stiff Linear System:');

tic;
[t,x]=q1_solution(@linsystem,0,0.1, [2; 1]);
duration = toc;
plot3(t,x(:,1),x(:,2),'ro','DisplayName','Q1');
fprintf('  Q1 Computation Time: %f\n', duration);

tic;
[t,x]=q2_solution(@linsystem,0,0.1, [2; 1]);
duration = toc;
plot3(t,x(:,1),x(:,2),'mx','DisplayName','Q2');
fprintf('  Q2 Computation Time: %f\n', duration);

legend('Location', 'NorthEast');
Stiff Linear System:
  Q1 Computation Time: 0.002954
  Q2 Computation Time: 0.002302

Oscillator

figure
[t,x]=ode23(@oscillator,[0, 20], [1, 0]);

plot3(t,x(:,1),x(:,2), 'DisplayName', 'ode23');
xlabel('t');
ylabel('x');
hold on;
disp('Oscillator:');

tic;
[t,x]=q1_solution(@oscillator,0,20, [1, 0]);
duration = toc;
plot3(t,x(:,1),x(:,2),'ro','DisplayName','Q1');
fprintf('  Q1 Computation Time: %f\n', duration);

tic;
[t,x]=q2_solution(@oscillator,0,20, [1, 0]);
duration = toc;
plot3(t,x(:,1),x(:,2),'mx','DisplayName','Q2');
fprintf('  Q2 Computation Time: %f\n', duration);

legend('Location', 'NorthEast');
Oscillator:
  Q1 Computation Time: 0.003978
  Q2 Computation Time: 0.003030

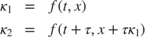
We note that for Q1 that for the low order method

$$
\begin{array}{rcl}
\kappa_1 &=& f(t,x) \\
\kappa_2 &=& f(t+\tau,x+\tau\kappa_1)
\end{array}
$$

and for the high order method

$$
\begin{array}{rclcl}
\overline\kappa_1 &=& f(t,x) &=& \kappa_1 \\
\overline\kappa_2 &=& f(t+\frac13\tau,x+\frac\tau3\overline\kappa_1) \\
\overline\kappa_3 &=& f(t+\frac23\tau,x+\frac23\tau\overline\kappa_2)
\end{array}
$$

Therefore, four evaluations of $f$ are required.

For Q2, as it is an embedded method, we only have three evaluations of $f$.

We expected that the Q1 method is slower than the Q2 method, which appears to be confirmed by the computation time.